济南市建设监理和咨询协会
济南市建设监理和咨询协会
济南市建设监理和咨询协会
Jinan Construction Supervision and Consulting Association Assoc

服务企业 架设桥梁 发展行业 

  • 首页
  • 协会介绍
    协会简介协会章程会费标准大事记
  • 组织机构
    组织机构图会员企业自律委员会专家委员会
  • 政策法规
    规范性文件其他文件
  • 党建工作
  • 诚信建设
  • 入会须知
  • 办事指南
  • 联系我们
  • ›
  • 通知通告
  • ›
  • 详情
  • 返回
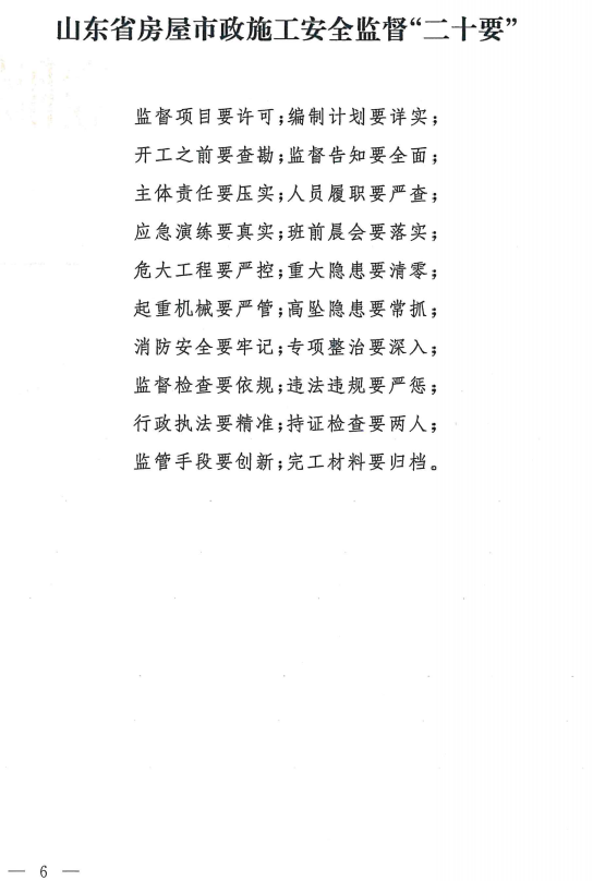
山东省房屋市政施工安全监督要点
时间:2026-03-03 17:16:48

image.png

image.png

image.png

image.png

image.png

放大 打印 缩小

电话:0531-61378924 地址:山东省济南市历下区旅游路 邮箱:jnjsjlxh@163.com

© 2020 济南市建设监理和咨询协会 版权所有

鲁ICP备2022025513号-1 山东设想信息技术有限公司提供技术支持


手机端

微信公众号